螺栓是最常用的机械零件,螺栓连接作为一种可拆卸式的连接方式,具有更换方便、通用性强、经济性好等特点,因此广泛应用于汽车及各种机械设备中联结间厚度不大的场合。螺栓联接是通过施加预紧力的方式将不同的零部件联接在一起,应力长时间作用下金属材料会发生蠕变及应力松弛等现象,使得螺栓紧固力下降,联接性能变差,直接关系到汽车的安全性能,因此需要对螺栓应力松弛进行分析。
一般而言,对于各种机械式连接件,在工作过程中,应力集中和疲劳多数发生在连接部位,即螺栓附近,这对螺栓的寿命和连接精度有着重大的影响。由于螺栓连接中,连接件和被连接件相互之间的作用力比较复杂,因此,在有限元分析中,需要有针对性的简化。在螺栓连接中,螺栓预紧力和相互间接触是比较重要的两个特点,它们对结构的静态特性和动态特性的影响非常大。
图 1常见螺栓的种类
一 螺栓的名称
了解螺栓的具体结构和特点,有助于对螺栓的受力和断裂模式有深刻的理解,进而对螺栓的仿真受力分析提供支持。某平头螺钉的详细结构如下图所示。
图 2平头螺钉的详细结构图示
二 螺栓的强度等级分类
螺栓的强度等级常使用的标准主要包括GB/T 3098.1-2010《紧固件机械性能螺栓、螺钉和螺柱》、ISO 898-1:2013《机械性能第1部分:螺栓、螺钉和螺柱》和ASTM A307《碳钢螺栓和螺柱的标准规范》。
国家标准中规定了螺栓的包括抗拉强度、屈服强度、硬度等性能指标,该标准适用于公称直径为M1.6~M39的螺栓、螺钉和螺柱。
按照国标GB/T 3098.1-2010中的规定,螺栓的强度等级主要分为3.6、4.6、4.8、5.6、5.8、6.8、8.8、9.8、10.9、12.9等共十个等级。其中,8.8级及以上螺栓被称为高强度螺栓,通常采用低碳合金钢或中碳钢,并经过淬火+回火热处理工艺,提高其抗拉强度,一般用于受力较大的场合,如装配连接螺栓;低于8.8级的螺栓常使用低碳钢材质,不需要热处理工艺,称为普通螺栓,一般用于受力较小的区域,如家具安装中的螺栓等。
图 3螺栓的分类及屈强比计算
三 螺栓的应用场景
螺栓广泛应用汽车、机械及各行业的连接中,如汽车悬置支架、板簧悬架的连接、新能源电池包的连接中等,如下图所示。
图4 悬置支架安装螺栓
图5 商用车板簧U型螺栓
图6 新能源汽车钢铝混合SPR连接
四 螺栓在工业中的典型失效
据统计螺栓连接的失效形式主要是螺栓杆部的损坏:在轴向变载荷的作用下,螺栓的失效多为螺栓的疲劳断裂,损坏的地方都是截面有剧烈变化因而有应力集中处。就破坏性质而言,约有 90% 的螺栓属于螺杆疲劳破坏。据统计资料表明,受变载荷的螺栓,如图 1,在从螺母支撑面算起第一圈或第二圈螺纹破坏处损坏的约占 65% ,在光杆与螺纹部分交界处损坏的约占 20% ,在螺栓头与杆交界处损坏的约占15% 。
图7 螺栓失效位置统计结果
图8 螺栓失效实物
五 螺栓预紧力的加载相关方法
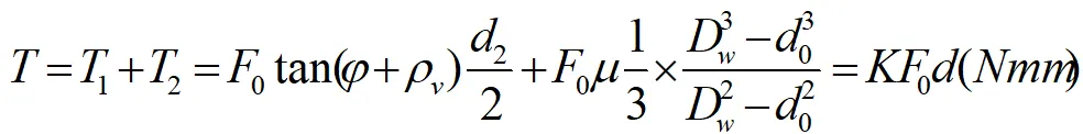
1、螺栓轴向力与力矩的关系,一般来说。拧紧力矩是通过拧紧扳手来施加的,而拧紧扳手力矩T是用于克服螺纹副的螺纹阻力矩Tl及螺母和与被连接件(或垫圈)支承面间的端面摩擦力矩T2。
K的取值较为复杂,很难得到其准确值,通常需要通过相关试验进行修正。对于普通粗牙M12-M64螺纹,其拧紧力矩系数K一般在0.1-0.3范围内变动。
国内很多学者对力矩系数的影响因素进行了一定研究,相关试验计算表明,螺栓公称直径不同,对扭矩系数变化影响很小,扭矩系数主要与摩擦系数有关。一般在有充分润滑作用条件下,金属接触表面上的摩擦系数分别在0.08 – 0.12之间。而在无润滑条件下,金属接触表面上的摩擦系数分别在0.1 – 0.25之间。类似的计算结果表明,公称直径,螺纹的粗细对螺母系数K的影响很小,而摩擦系数的变化,对螺母系数K的影响则很大。摩擦系数的正常变化范围可能导致螺母系数产生+30%的变化。
螺栓扭矩与螺栓载荷换算,依据经验公式:M=F\times D\times K (M为螺栓扭矩,F为螺栓载荷,D为螺栓公称直径,K为系数,一般为0.1-0.3,常取0.16,需根据实际进行相应调整)。
2、螺栓预紧力加载方法2
使用经验法则是将其轴向预紧力F设定为螺栓材料屈服强度的70%左右。
近似等效公式:F=0.7\sigma _{y} ∗A_{s}
\sigma _{y}:螺栓材料的屈服强度。这个值由螺栓的强度等级决定。常见等级对应的屈服强度(\sigma _{y})和抗拉强度(\sigma _{u})见下表。
A_{s} :螺栓的应力截面积。这个值可以查表或近似计算:
如:计算一个M12,强度等级9.8螺栓的近似轴向预紧力F。根据表格可得该螺栓的屈服强度为
\sigma _{y} =720MPa, A_{s} =84.3mm2(M12粗牙),
F≈0.7×720×84.3≈0.7×53952=42487N≈42.5kN
六 螺栓在工业仿真中 如何开展
1、螺栓对性能的影响,如模态振动、冲击等影响,从下图中可以看出是否考虑施加螺栓预紧力,对性能影响较大,如图7所示。
图7Z向25G冲击有无预紧力响应对比
图8 螺栓预紧力对模态、刚度及振动响应的影响
2、如:基于Lsdyna螺栓预紧力CABLE分析方法
该方法主要特点:
(1)在这种方法中,螺母和螺栓被分别建模,在分析开始时,通过将螺母沿螺栓轴向下移动来将板夹紧在一起。使用连接在螺栓和螺母之间的预压缩弹簧来移动螺母。一旦达到所需的载荷,使用特定的出生时间将螺母和螺栓固定在一起,然后移除弹簧。
(2)在这个例子中,一个预加载的螺栓通过将螺母向下移动螺栓轴来夹紧两个板。螺栓和螺母使用0.5毫秒的绑扎接触锁定在一起。
图8螺栓加载结果























