A fatigue test was conducted on a microalloy steel at stress levels of ±400 MPa and ±250 MPa. Failure occurred after 2 × 10^4 and 1.2 × 10^6 cycles, respectively, at these levels. Under appropriate assumptions, estimate the fatigue life of a component made from this steel that has already undergone 2.5 × 10^4 cycles at ±350 MPa, when subjected to ±300 MPa stress level.
Solution: We assume the form of an equation (other forms can also be assumed):
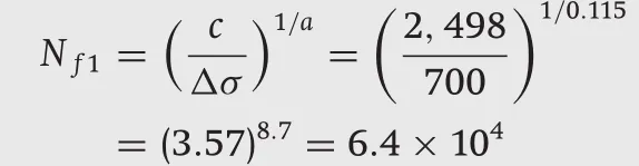
At a stress level of ±350 MPa, the number of cycles is:
For 2.5 × 10^4 cycles,
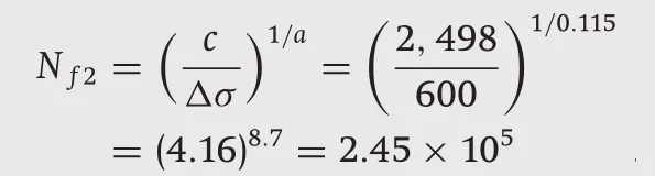
At a stress level of ±300 MPa, the number of cycles is:
According to the Palmgren-Miner rule,
Therefore, the fatigue life (number of cycles) is:





